
Андрей Жуков
На встречу с читателями Reminder приходил Андрей Жуков, сооснователь и идеолог системы персональных тренировок Pro Trener, а в 2000-х — один из ведущих тренеров сети World Class. В этом материале мы рассказываем о том, почему тренировать мышцы нужно всем, и пересказываем ключевые советы Андрея о том, как делать это эффективнее.
Вступление от Максима Кашулинского, издателя Reminder. Первое, что приходит в голову, когда мы думаем о мышцах: они нужны, чтобы выглядеть красиво. Примерно как Арнольд Шварценеггер в свои лучшие годы. Но в действительности мышцы нужны не только и не столько для того, чтобы красиво выглядеть или поднимать тяжести (хотя последнее до какой-то степени важно).
Есть четыре важнейших эффекта мышц и пользы силовых тренировок, о которых многие даже не знают.
Первый: мышцы улучшают метаболизм глюкозы. Глюкоза — основная энергетическая молекула, без нее мы не можем жить. В то же время это очень активное вещество, и если оно без толку болтается в крови в больших количествах, это может приводить к разным негативным последствиям: разрушению кровеносных сосудов, отложению лишнего жира, ухудшению работы инсулина. Самое известное метаболическое расстройство — диабет. Пациентам, которым уже поставили диагноз диабет или которые находятся в преддиабетном состоянии, врачи иногда прописывают силовые тренировки. Потому что мышцы очень хорошо утилизируют глюкозу. Мозг тоже расходует много глюкозы — 20% всего энергетического баланса, но увеличить расход глюкозы за счет «мыслей» нельзя, а за счет роста мышц — можно.
Второй: мышцы помогают сжигать больше калорий. Мы сжигаем калории, когда занимаемся в тренажерном зале, но после силовых тренировок мышцам нужно восстанавливаться, на это тоже расходуется энергия, и получается чудо-эффект: вы уже не тренируетесь, сидите дома, но калории все равно продолжают сжигаться благодаря восстановлению мышц.
Третий: силовые тренировки укрепляют кости. Звучит странно, но это действительно так. Кости ведь не просто какие-то палки внутри нашего тела, это живая ткань. И силовые тренировки, нагрузка делают их прочнее, плотнее.
Четвертый и, наверное, самый неочевидный: мышцы поддерживают когнитивную деятельность. Казалось бы, где мышцы и где мозг, но связь существует. Мышцы во время работы выделяют много сигнальных молекул. В том числе такие молекулы, которые могут попадать в мозг, где способствуют развитию и росту нейронов. Исследования, особенно на людях пожилого возраста, показывают, что если вводить в их жизнь силовые тренировки, они демонстрируют лучшие результаты на когнитивных тестах. И наоборот, если снижается мышечная масса, мышечная сила, то теряется когнитивная способность.
Я не зря упомянул исследование о пожилых, потому что с возрастом, мышцы теряются: примерно на 1% в год после 35-40 лет. Мышечная масса уходит сама по себе, если ничего не делать. Если тренироваться, тоже уходит, но медленнее или даже может нарастать.

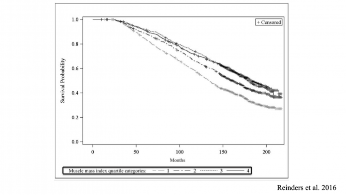
Есть обобщающий все сказанное выше график, где не молодых уже людей разбили на четыре группы в зависимости от их мышечной массы.

Со временем — см. нижнюю шкалу, где отложены месяцы — люди уходили из жизни, вероятность выжить снижалась. Конечно, во всех группах люди умирали, но самая нижняя группа уходила из жизни быстрее. Вероятность выжить у них становилась меньше и меньше. Вывод? Хорошо быть в верхней половине (группы 3 и 4) по мышечной массе.
Мы задали Андрею Жукову много вопросов о том, как и почему нужно тренировать мышцы, и суммировали его ответы в 12 ключевых пунктов.
По нормам Всемирной организации здравоохранения (ВОЗ), мышечная масса должна составлять от 30% до 40% от общего веса человека, говорит Андрей. У мужчин она обычно ближе к верхней границе диапазона, у женщин — к нижней.
Поэтому у женщин основной обмен веществ обычно чуть медленнее: мышцы в состоянии покоя расходуют около 13-15 калорий на 1 кг мышечной массы в сутки, а жировая ткань том же в состоянии — 4-5 калорий на 1 кг в сутки.
Если не качать мышцы, с возрастом их потеря будет прогрессировать, но с тренировками они могут не только не уходить, но и прирастать. «Например, если человек ничего никогда не делал и начал в 45 лет заниматься, то если он будет систематически и правильно заниматься, к 50 годам у него мышечная масса станет больше. У меня есть примеры, когда люди в 56-57 лет начинали тренироваться, и к 60-62 годам у них мышечная масса становилась больше».
Развитию мышц нужно уделять 50% тренировочного времени, считает Андрей.
Сейчас есть много клиник, которые проводят тестирование на состав тела, говорит Жуков. Но сделать это можно и самостоятельно, с помощью так называемого биоимпедансного исследования — взвесившись на «умных» весах. Они могут измерять соотношение мышечной и жировой массы в теле, при этом просты и доступны. Лучше покупать весы, которые контактируют и со стопами, и с ладонями (вам нужно взять в руки специальные датчики), это дает более точный анализ тела, говорит Андрей.
Сила это величина, которая зависит не только от мышц, но и от других факторов — например, от связок, говорит Андрей. К тому же, измерять силу нужно всеми частями тела, потому что один человек может иметь перекачанный верх и недостаточно развитые ноги.
«В целом, нормальный мужчина с достаточно развитыми грудными мышцами и трицепсами должен отжаться от 30 до 50 раз. Девушке от 10 до 30 раз будет уже хорошо».
ПРОВЕРЬТЕ ВАШ ФИТНЕС-ВОЗРАСТ. Простые тесты вроде отжимания и планки могут многое сказать о вашем здоровье. Подробнее — в нашем материале.
Кроме того, стоит помнить о составе мышц. В нашем теле есть быстрые, переходные и медленные мышечные волокна: их соотношение всегда разное, это зависит от генетики. При этом, медленные волокна не такие сильные и мощные, как две первые группы, но выносливые.
И разные волокна тренировать нужно по-разному: быстрые — с большими весами, добиваясь гипертрофии мышц, медленные — с небольшими весами или собственным весом тела и с большим количеством повторов для развития мышечной выносливости.
Всемирная организация здравоохранения рекомендует уделять аэробным тренировкам средней интенсивности (пример: быстрая ходьба) от 150 до 300 минут в неделю, либо делать до 150 минут аэробных тренировок высокой интенсивности (бег). А в дополнение к этому — не менее двух раз в неделю заниматься силовыми тренировками. Но это самые общие рекомендации «в среднем по планете».
«Исходя из своих знаний и 25-летней практики, я пришел к выводу, что два раза в неделю — недостаточно», — говорит Андрей. Двух силовых тренировок в неделю хватит лишь для поддержания мышц, а для их развития нужна нагрузка на мышцы от трех до четырех раз в неделю.
«Я считаю, что 3 часа тренировок в неделю — минимум для людей старше 40 лет, и эти три часа нужно распределить между разными типами тренировок».
Если вы делаете три силовые тренировки в неделю, Жуков советует такую схему.
Одна тренировка — силовая, для быстрых мышечных волокон, направленная на гипертрофию (рост) мышц, с большими весами и от 8 до 12 повторений на все основные мышечные группы.
Вторая тренировка — для медленных мышечных волокон, с небольшими весами, собственным весом тела, фитнес-резинками и другим подобным инвентарем. Количество повторений на одну мышечную группу должно быть от 50 до 100. «Не обязательно без остановки, можно за несколько подходов, но нижняя цифра должна быть хотя бы 50», — объясняет Андрей.
Третья — тренировка на нестабильных поверхностях, на которых очень хорошо прорабатывать мелкие мышечные группы и особенно связки. По словам Жукова, если вы не можете выделять для этого специальный день, просто добавьте такие упражнения в круговые тренировки в другие дни.
Если вы можете делать только две силовые тренировки в неделю, Жуков советует круговые тренировки на все группы мышц, при этом:
«У меня кстати есть такая тренировка, 8 по 50, на все группы мышц», — говорит Андрей.
Если вы не можете уделять целый час на силовую тренировку два или три раза в неделю, вы можете дробить эти тренировки на более мелкие отрезки — например, уделять внимание мышцам каждый день, семь дней в неделю по 20 минут — и это тоже будет прекрасно, добавляет Жуков.
Во всех случаях не забывайте о заминках после силовых тренировок, говорит он. «Я очень рекомендую после силовых тренировок делать заминку — кардио в течение минимум 15-20 минут. Этой заминкой мы снижаем концентрацию молочной кислоты и быстрее запускаем процесс восстановления за счет подкожного жира».
Еще одно важное правило: тренировки, веса и упражнения не должны быть однообразными. «Это как в питании, лучшая диета — питаться разнообразно и умеренно», — говорит Андрей. Конечно, однообразные упражнения приведут вас к той же цели, что и разнообразные, но сам тренировочный процесс будет более интересным.
«А если так, вы будете дольше заниматься, вам дольше не надоест. И вы, скорее всего, привыкнете, это станет у вас образом жизни. Потому что образ жизни — это рутина, которую мы делаем каждый день».
Чтобы мышца начала меняться, ей нужен стресс. Если стресса нет, никакие адаптационные механизмы не запускаются, говорит Андрей.
Упражнения с большими весами создают тот самый стресс, от которого растут мышцы [через микроразрывы и потом гипертрофию волокон]. Большим количеством повторов с легким весом тоже можно добиться гипертрофии мышц, но коснется скорее медленных мышечных волокон — а они не такие объемные и не так сильно увеличиваются.
«Я бы все же рекомендовал не бояться [больших весов], просто не надо начинать с огромных весов, постепенно увеличивайте нагрузку. Если нет выбора, лучше, конечно, делать с собственным весом на большое количество повторов, чем не делать ничего».
Принцип постепенности также позволяет минимизировать риск травм во время силовых тренировок, говорит Андрей. «Начинайте с простых упражнений, с небольших весов и по мере укрепления в первую очередь, связочного аппарата, постепенно, это ключевое слово, добавляте веса, разнообразие упражнений, переходите на более сложные и так далее».
Разве что в деталях: например, в количестве тренировок в неделю с большими весами или в сложности каких-то упражнений, говорит Андрей. «С мужчинами можно побольше с железом заниматься, а девушкам достаточно одной такой тренировки в неделю, а остальные с собственным весом. Или девушки не очень любят жим от груди, его можно заменить на что-то другое».
Йога бывает разной, отвечает Андрей: есть йога с большим количеством отжиманий, требующая большой силы, есть йога, больше направленная на растяжку и гибкость.
«Но все равно, у нас нет физического качества “йога”, у нас есть физические качества “гибкость”, “сила”, “выносливость”». Кроме того, после 40 лет одной йоги может быть недостаточно — должны быть тренировки, провоцирующие мышечную гипертрофию, считает Андрей.
При этом гибкость, которая развивается за счет йоги, тоже очень важна и ее значение растет с возрастом, в том числе для тех, кто занимается силовыми тренировками. «Развитие мышц и связок вызывает крепатуру и уменьшение амплитуды движения, потому что мышцы становятся короче. Если только качать мышцы и не развивать гибкость, к 40-50 годам невозможно будет наклониться и завязать шнурок, тело будет деревянным».
Нет: чтобы мышцы росли, нужен просто небольшой профицит калорий, но особенно важно потреблять норму белка, говорит Андрей.
Частая ошибка: человек хочет похудеть, для этого создает большой дефицит калорий и не тренируется, поэтому начинает худеть в основном за счет потери мышечной массы. Чтобы худеть за счет потери жира, соблюдайте два условия,
Из продуктов, которые содержат животный и растительный белок, отвечает Андрей. Животный белок — это мясо, яйца, рыба, морепродукты, молочные продукты, творог, натуральные йогурты, нежирные сорта сыра. Растительный белок есть в сложных углеводных продуктах (например, в гречке или киноа), а также в цельнозерновой пасте.
Чтобы потреблять норму белка, нужны три основных приема пищи и что-то белковое в каждом из них — потому что съесть дневную норму белка за один прием физически тяжело.
«Например, девушке весом 60 килограммов нужно 70-100 граммов белка в день. Но речь идет о чистом белке, а не о 100 граммах куриной грудки, например, в которой есть примерно 18-20 граммов белка», — говорит Андрей. Поэтому читайте состав продуктов на этикетке и смотрите, сколько в них белка на 100 граммов — со временем вы к этому привыкнете.
Если у вас есть час-полтора до тренировки, правильно будет съесть, например, сложные углеводы (пример: каша) — у вас есть время для того, чтобы они переварились.
Если же у вас осталось всего минут 15, тренировка будет интенсивной, и вам нужно поднять глюкозу, чтобы не упасть в обморок, нужно есть то, что быстро переваривается: тост с джемом, [сладкий] чай или полбанана, говорит Андрей.
Если тренировка не очень интенсивная, есть перед ней не обязательно — ваши мышцы все равно заряжены вчерашней едой. «Мы тренируемся на гликогене, который запасли вчера, потому что он депонируется 12 часов в мышцах. Еда перед тренировкой просто поднимает уровень глюкозы в крови для питания центральной нервной системы, мозг просыпается и начинает лучше работать».
Тяжелую еду после тренировки есть точно нельзя, отвечает Андрей: «У нас кровоток перераспределяется к рабочим мышцам, есть недостаток кровотока в желудке, и пища будет плохо перевариваться». В идеале полноценно питаться лучше через час-полтора после нагрузок.
Другое дело — спортсмены. Им нужно начать восстанавливаться максимально быстро, потому что у них скоро следующая тренировка или соревнования. Поэтому спортсмены сразу после тренировки принимают белково-углеводные или протеиновые коктейли сразу после тренировки — они легко усваиваются, легко перевариваются, быстрее запускают восстановление.
Если вы хотите набрать мышечную массу, вам тоже можно пить протеиновые коктейли после тренировки, говорит Андрей. «Именно выпивать коктейли, а не есть, не перегружать желудок и желудочно-кишечный тракт».
Но если ваша цель — похудеть, то в течение 90 минут вам не стоит ничего есть, чтобы не допускать подъема инсулина и эффективно использовать [для выработки энергии] жир, объясняет он.
«Период срочного восстановления после нагрузки длится примерно 90 минут, и жира в этот период сжигается намного больше, чем во время нагрузки. Поэтому если ваша цель — похудение, я рекомендую в первые 90 минут пить воду, чай и так далее, а уже потом делать полноценный прием пищи».
«Если человек пришел [в зал] не суперспортсменом, у него должна уходить жировая масса и прибавляться мышечная», — говорит Андрей.
Например, в первые полгода тренировок человек может потерять 2 кг жира и приобрести 2 кг мышц. То есть, может измениться не вес, а объем человека, потому что эти 2 кг мышц менее объемны, чем 2 кг жира.
«На весах будет разница, скажем, 300-400 граммов, но человек может выглядеть худее и стройнее, станет, условно, на размер меньше, и визуально это будут два разных человека», — говорит Андрей.
Второй фактор — изменение рабочих весов. «Если раньше, например, вы могли сделать на 8-12 повторений от груди 50 килограмм, то через два месяца вы на то же количество повторений можете делать уже 60 килограмм».
При этом, оговаривается Андрей, дело может быть не только в силе мышц, но и в укреплении связок, улучшении техники и так далее. «Много факторов влияет, но если вы увеличиваете свои веса или количество отжиманий или подтягиваний со своим весом, это и есть прогресс».
Новое исследование объясняет, как наш взгляд на жизненные цели влияет на мотивацию и поведение
Терапевт клиник DocMed Дмитрий Василенко о симптомах дефицита железа и анализах на ферритин
Рассказывают терапевт, кардиолог, эндокринолог и психиатр Европейского медицинского центра (ЕМС)